Iterating to ODEsolve soltution (shooting method)
I am using Mathcad Prime Release 8.0 and Datecode8.0.0.0
I want to add an iteration process to an ODEsolve block. It would require iterating an initial condition until two of the solutions match.
I am using Mathcad Prime Release 8.0 and Datecode8.0.0.0
I want to add an iteration process to an ODEsolve block. It would require iterating an initial condition until two of the solutions match.
Answer: T1(0)=202.446 °C
Your problem:

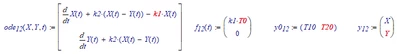
Solve the set of ODE:

Extract the functions:

Check that it's the solution:

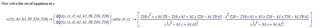
Solve the problem to find T10 for T1(L)=T2(L):

Fill in the numbers:

Plot:

Note that Prime 9 and higher (present version is 11) can solve your set of DE symbolically, allowing you to through above exercise.
You can, (in your Prime 8 ) make the solve block be a function of T10 and then numerically solve it. For a simple example see: https://community.ptc.com/t5/Mathcad/Solve-Block-Iteration/m-p/889162
This forum (part) is for installation and licensing problems. For more help, post your problem in the proper forum (part): https://community.ptc.com/t5/Mathcad/bd-p/PTCMathcad
Success!
Luc
Enter your E-mail address. We'll send you an e-mail with instructions to reset your password.