Question
Sum of columns of matrices
Hello,
I just started using MathCAD Prime 3.0 and stumbled upon a problem. I can't find a solution to that online.

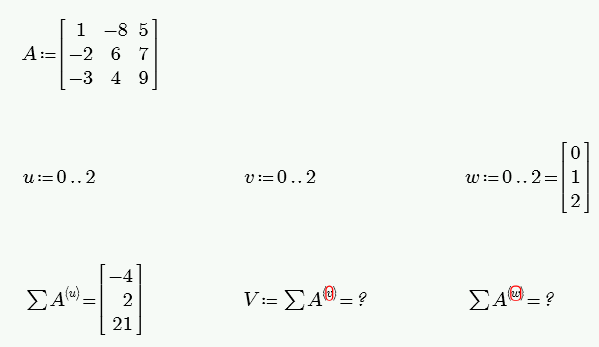
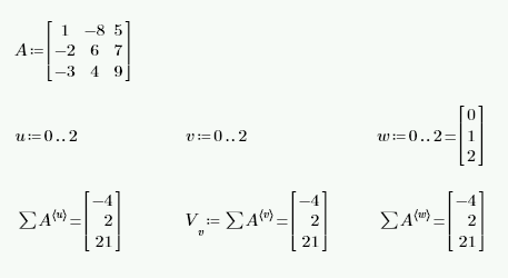
I have a question about this screenshot:
Why appending a result to a variable makes the operation impossible (1st and 2nd columns)?
Why showing the value of a variable makes the next operation impossible (1st and 3rd columns)?
Thank you. (I hope this post is in compliance with the policy)

