Skip to main content
15-Moonstone
March 27, 2025
Solved

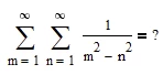
Limit value sought

  • March 27, 2025
  • 3 replies
  • 3989 views

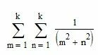
The attached MC14 file is looking for a limit. The result should be -pi^2/8. My attempts failed. Only with the help of good old derive did I manage it. How does this work in MC14?

Best answer by Werner_E

Ich bin in der Theorie nicht so beschlagen, aber was ich meinte war, dass, wenn man die Aufgabe nicht als Berechnung einer undendlichen Doppelsumme. sondern als Suche nach dem Grenzwert einer Folge auffassen wolte, der Grenzwert nicht von Null verschieden sein kann. Entweder ist er also Null oder er exisitiert nicht, Bei Definition der Folgenglieder durch die (endliche) Doppelsumme  liegen in den kleinen epsilon-Umgebungen von -p^2/8 nicht fast alle, sondern kein einziges Folgenglied. Es kann also sich nicht für jedes epsilon>0 ein N angegeben werden, sodass für n>N alle Folgenglieder in der Epsilon-Umgebung von -p^2/8 liegen. Und das wäre ja meines Wissens die Definition für den Grenzwert einer reellwertigen Folge, oder?

Deswegen meinte ich, dass die Aufgabe, den Grenzwert dieser Folge zu bestimmen sich von jener, die unendliche Doppelsumme zu bestimmen, unterscheidet.

3 replies

25-Diamond I
March 27, 2025

Mathcad's capabilities in symbolic calculation are of course clearly inferior to those of Derive, Maple or Mathematica - at least since they switched the symbolic engine from Maple to muPad.

 

But I doubt that the limit of the function f(k) you defined is somewhere near the value you name:

Werner_E_0-1743090183281.png

Furthermore it does not make much sense to demand n<>m for at least two reasons:

.) Your function definition does not use any variable n

.) m is the index variable of the sum and you can't exclude single values here.

For example you can't define a function like

Werner_E_1-1743090426624.png

and hope that an evaluation like

Werner_E_2-1743090464820.png

would yield the result 3 because k=2 is excluded.

 

I don't think that it matters but you wrote

Werner_E_3-1743092639605.png

but its not possible to approach infinity from above/from the right.

Guess you rather meant

Werner_E_4-1743092706991.png

and not

Werner_E_5-1743092739975.png

When using infinity or minus infinity as limit its not necessary to state the direction of approaching it.

 

 

15-Moonstone
March 27, 2025

The calculated result is at least the absolute value of pi^2/8. This was achieved using various approaches. The problem simply requires calculating the double series of summands 1/(m^2+n^2). The necessary constraint that m is not equal to n is, of course, quite challenging. And experience has shown that the so-called Great Rearrangement Theorem (Cauchy's Double Series Theorem) must also be observed, which states that commutation of the series summands is only permitted under absolute convergence. I was just hoping that MC could do it if derive could :-(.

23-Emerald IV
March 27, 2025

OK. First check some properties of Mathcad 11:

LucMeekes_1-1743114946148.png

to see that the symbolic processor handles funny summation limits differently.

With this we can write the function as:

LucMeekes_2-1743115002537.png

thus omitting the case where m=n for symbolic evaluations.

Now for k=1 through 25 we get:

LucMeekes_3-1743115075161.png

But as of k=26:

LucMeekes_4-1743115103074.png

LucMeekes_5-1743115133064.png

and the list grows as k increases. The small thin line below here contains f(333):

LucMeekes_6-1743115328883.png

But notice that:

LucMeekes_7-1743115400328.png

and also:

LucMeekes_8-1743115449572.png

The limit for k -> infinity resulted in an error: No symbolic result.

Symbolic calculation of f(3333) crashed Mathcad.

 

Success!
Luc

 

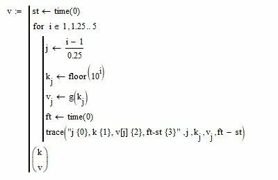
21-Topaz II
March 28, 2025

Hi Alfred,

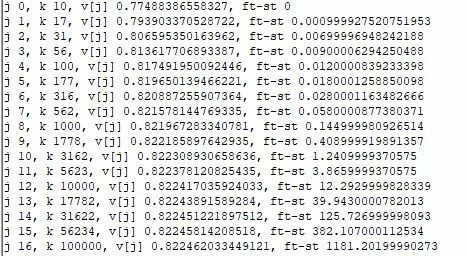
Not using symbolics but number crunching by brute force gets limit ~ 0.8225

Capture.JPGThis is function 3 by Werner

A short program to work it up

Capture2.JPG

Gets this after a very long wait.

Capture3.JPG

Or graphically

Capture5.JPG

Note if you use:

Capture4.jpgit does not converge and gives a straight line upward to the right on the log plot,

Cheers

Terry

25-Diamond I
March 28, 2025

Alfred later corrected his first post and said that is should read m^2 - n^2 instead of m^2 + n^2,

Working functions can be seen here: https://community.ptc.com/t5/Mathcad/Limit-value-sought/m-p/1007150/highlight/true#M216635

But because of symmetry the return zero as result for all finite k

25-Diamond I
March 29, 2025

OK, hier nun der etwas sauberere Anschrieb - diesmal ohne Vorzeichenfehler.

Schade nur, dass Mathcad den intuitiven direkten Ansatz für die Summen, wie zB

Werner_E_1-1743268657783.png

nicht verwenden kann und man daher auf die Substitution k=m-n zurückgreifen muss

Werner_E_2-1743268728457.png

Und dann war es auch noch nötig gerade bei dieser Summe die Summationsreihenfolge zu ändern,

Werner_E_0-1743270332015.png

damit Mathcad letztlich ein Endergebnis ausspuckt.

Da ist in Summe doch unbefriedigend viel Handarbeit und Probieren nötig gewesen 😞

Aber wenigsten hat, wie oben schon beschrieben, die nichtmathematische Implementierung des Summenoperators nicht auch noch in die Suppe gespuckt.

 

Hier die Herleitung, wobei durch die PBZ und das Bilden der einzelnen Summen aber die ursprünglich vorgegebene Reihenfolge der Summation verändert wurde!

Werner_E_3-1743268933420.png

 

Ich denke, dass die Aufgaben

Werner_E_5-1743269039341.png

und

Werner_E_6-1743269131472.png

(jeweils mit m<>n) zwei unterschiedliche sein dürften. Letztere ist ja die Frage nach dem Grenzwert der konstanten Nullfolge, den man wohl mit 0 angeben muss, oder?

 

 

15-Moonstone
March 30, 2025

Um Mißverständnisse zu vermeiden, nun muttersprachlich:

Ihre Lösung in MC ist im besten Sinne beeindruckend :-). Zur Frage der "konstanten Nullfolge" gilt, daß die Summe "Null" sich erst nach erlaubter Anwendung des Kommutatiosgesetzes für endliche Summen ergibt. Im Grenzfall gilt dies nicht und ein Grenzwert "Null" kann daher in diesem Fall nur durch Definition erzeugt werden. Erst mit Nachweis absoluter Konvergenz der Reihe darf vorher kommutiert werden.

Für Doppelreihen gilt (Knopp, Theorie und Anwendung der unendlichen Reihen):

Eine Doppelreihe besteht aus Summanden, die selber Reihen sind. Eine Doppelreihe besteht also aus einer inneren Summe, die die Summanden für die äußere Reihe liefern -  beide Reihen mit jeweils voneinander unabhängigem Indexverlauf (insbesondere die obere Summationsgrenze). Letzteres war für mich damals der Schlüssel zum Erfolg und bot die Möglichkeit, derive anzuwenden. Daher ist auch ganz im Sinne des Großen Umordnungssatzes (Cauchy) und den Sätzen über Reihentransformation (z. B. Markoff) bei Doppelreihen spalten- bzw. zeilenweise in der üblichen Doppelreihenmatrix vorzugehen. Für die hier behandelte Aufgabe bedeutet es, daß von Anfang an endliche Summen ohne Kommutation zu behandeln sind.

Werner_E25-Diamond IAnswer
25-Diamond I
March 30, 2025

Ich bin in der Theorie nicht so beschlagen, aber was ich meinte war, dass, wenn man die Aufgabe nicht als Berechnung einer undendlichen Doppelsumme. sondern als Suche nach dem Grenzwert einer Folge auffassen wolte, der Grenzwert nicht von Null verschieden sein kann. Entweder ist er also Null oder er exisitiert nicht, Bei Definition der Folgenglieder durch die (endliche) Doppelsumme  liegen in den kleinen epsilon-Umgebungen von -p^2/8 nicht fast alle, sondern kein einziges Folgenglied. Es kann also sich nicht für jedes epsilon>0 ein N angegeben werden, sodass für n>N alle Folgenglieder in der Epsilon-Umgebung von -p^2/8 liegen. Und das wäre ja meines Wissens die Definition für den Grenzwert einer reellwertigen Folge, oder?

Deswegen meinte ich, dass die Aufgabe, den Grenzwert dieser Folge zu bestimmen sich von jener, die unendliche Doppelsumme zu bestimmen, unterscheidet.