Solving multiple equations for a symbolic solution Prime 11.0.1.0
- March 21, 2026
- 1 reply
- 196 views
I am currently running the trial version of Mathcad Prime 11.0.1.0 (I think only a few days left) to evaluate its capabilities for solving multiple equations with multiple unknowns. I want to verify that it will produce the results that I need before purchasing the software. I have run into a problem getting Mathcad to solve the system equations symbolically. I have looked around the internet for community information on this aspect of Mathcad but have not found anything that addresses my specific topic.
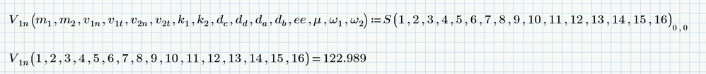
The problem to which is seek a solution arises when modeling the impact between two bodies. Using the impulse-momentum formulation of Newton's 2nd law gives me 6 equations and six unknowns with a point mass (no rotational inertia) impacting a point mass. I put this system into Mathcad and used the solve feature and it produced the desired result. My file is attached. You will see that I took the solution equations Mathcad produced and ported them over to calculate the numerical solutions after defining the various parameters numerically.
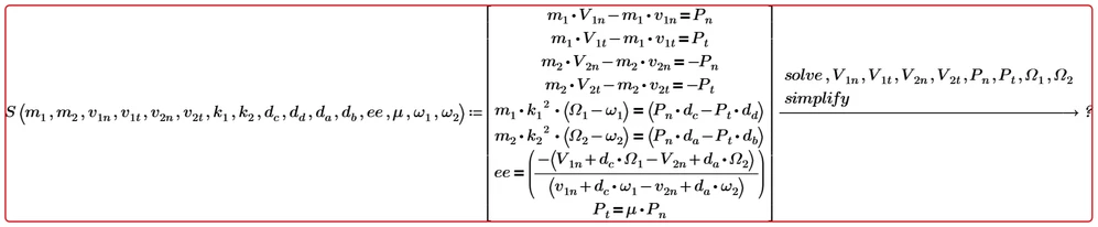
The next step was to put the 8 equations and 8 unknowns into Mathcad that I get when I model the the impact with rigid bodies (these have rotational inertia, 2 additional equations, 2 more unknowns). I refer to this problem as planar impact mechanics (PIM). Mathcad does not solve this problem but produces an output with an if-else construct. I have not been able to interpret this output or convince Mathcad to produce a solution. My file is attached. I assume the answer I get is revealing, in some manner, an issue it has with the equations.
I am a little confused that there is an issue with the system equations since these two problems are just precursors to more complicated impact problems that I would like to solve in my research (more than 8 equations and 8 unknows). The solutions to these two systems of equations already have known symbolic/analytical solutions. So I can make comparisons to ensure I am on the right track. The point mass solution Mathcad gives me matches the known solution that I have programmed previously.
I need some Mathcad guidance to get Mathcad to produce the solution equations for the PIM problem and that I can use to solve the more complicated problems.

