Solved
It is a problem that needs differentiation by parts
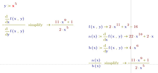
Your function is d/dx of a(x)*b(x) so the result should be: (d/dx a(x) ) *b(x) + a(x) * (d/dx b(x))
Unfortunately if you define f(x,y) mathcad is assuming that these parameters are independant
When later you let mathcad know that y=x^5 then it substitutes that into the result it already had,
but information is lost & you get an incorrect answer.
Enter your E-mail address. We'll send you an e-mail with instructions to reset your password.



