Skip to main content
skunks
19-Tanzanite
March 4, 2019
Question

evaluation of mid principal stress

  • March 4, 2019
  • 1 reply
  • 1544 views

What mean mid principal stress?

in practice?

mid_stress.jpg

1 reply

17-Peridot
March 4, 2019

Here are my thoughts on this.

 

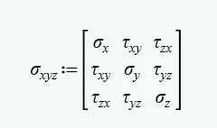
For a 3d model the stress has 6 components.Stress_tensor.PNG

 

 

Principal space is just a rotation of the coordinate system for stress and still has all 6 d.o.f. of stress.

Various failure theories use the 3D stress state, either generically or in principal space.

For example Von Mises has a general formula and a principal space formula.

See summary table  https://en.wikipedia.org/wiki/Von_Mises_yield_criterion

The principal space formula uses the Mid Principal stress.

 

Also I find this a good reference. (also in textbook form) It has nice 3D plots showing failure envelopes in 3D principal stress space.

https://www.failurecriteria.com

 

I believe the Mid Principal communicates hydro-static stress as well.

I think in practice mid principal is rarely used by itself but it is available for the fully defined 3D state of stress.

Maybe one could generate or use failure theories different than the built-in CREO failure theories.