Solved
2 Equations symbolic system
Hi everybody, my name is Marcello and I am absolutely new with MathCad.
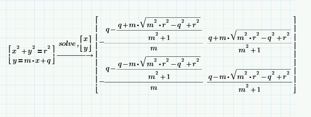
I succeded in solving a symbolic equation, now I want to know how to solve a symbolic system of 2 equations in x,y like the following:
x^2+y^2=r^2
y=mx+q
thanks in advance for your help


