2nd moment of area again
Hi Guys,
I have another 2nd moment issue I am struggling with.
This is the overall task:

So far I have calculated the area, centroid and second moments for the waterplane as follows:

and

What I then struggle with is combining the second moments of the two shapes. I am of the belief that I can get the overall second moment of the entire waterplane by adding the two individual second moments about centroids i.e. JoL = JL (for the ship) + JL (for the appendage)
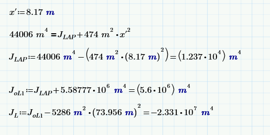
I have JL for the ship and I believe to get JL for the appendage I need to convert the second moment about the aft perpendicular to the centroid which I thought could be done as follows:

But I am obviously not getting the answer right for JL. I have also not even got to thinking how the overall JT value is obtainable?
Any help warmly welcomed as always.
Andy


