3 Equations - 3 Variables
Hello guys,
I'm doing a geometrical calculation program in excel, and for that, I'm using Mathcad to define the formulas.
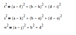
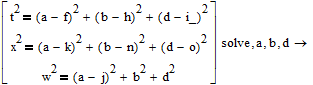
For the last one, I have 3 known distances in R3, and 3 coordinates, and I want to find the last one.
So , the formulas are:

All the variables are input given, but (a, b, d), which are the last point coordinates (x,y,z).
I need to get the formulas, a, b, d only in function of the given variables. So a symbolic solution someway like that:
a = t+ w-j +2 o.....
b = o+ n-j +2 w.....
c = w+ t-j +2 j.....
I'm very unexperient with Mathcad, so I don't know any function that could do this automaticly for me.

