Skip to main content
Best answer by Werner_E

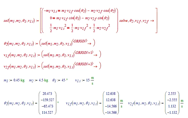
You can't use  "find" multiple times, but you can use multiple arguments in the find function and assign the result to a vector of variables:

B.PNG

1 reply

Werner_E25-Diamond IAnswer
25-Diamond I
May 28, 2019

You can't use  "find" multiple times, but you can use multiple arguments in the find function and assign the result to a vector of variables:

B.PNG

kenan21-VisitorAuthor
1-Visitor
May 28, 2019

Thank you !

23-Emerald IV
May 28, 2019

Note that you are missing a few solutions...

LM_20190528_3eq3unk0.png

Due to the guess values the solve block gave you just the first of each of four solutions.

With the expressions, it's easy to see what happens, e.g. if theta1 is varied:

LM_20190528_3eq3unk1.png

Success!
Luc