Solved
4 Nested if Statements
- August 24, 2025
- 1 reply
- 847 views
Hello All,
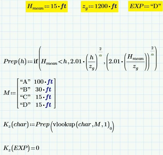
I have attached P9 mathcad sheet. I am struggling to do four "if" statements. I have four different exposures A,B,C, and D. I managed to do up to exposure B. I just did exposure "B" and I don't remember how i did it.I am not able to add another "else" statement for exposure C, D.
Thank you!
Sam


