Skip to main content
1-Visitor
January 22, 2019
Solved

A little symbolic problem

  • January 22, 2019
  • 2 replies
  • 2540 views

Hi, I met a little problem and hope for your help.


Picture.PNG

How to overcome this behavior without manual intervention?

MC15 File is attached

Best answer by LucMeekes

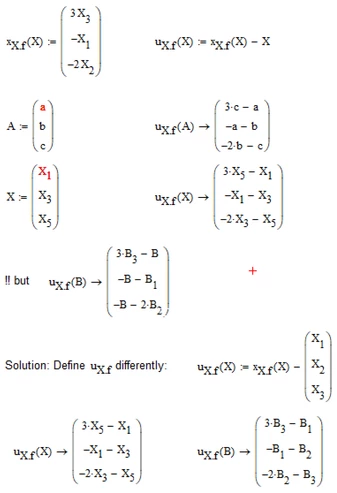
You have to differentiate (name differently) between the X as parameter of the function, and X as the vector you defined before.

Within the definition of the function u, the best(closest) known X is the parameter of that function u, that is X, which at that point is unknown to be a vector...

 

 

Success!
Luc

2 replies

23-Emerald I
January 22, 2019

Try vectorizing your expression:

Capture.PNG

ifomenko1-VisitorAuthor
1-Visitor
January 22, 2019

no result(:

LucMeekes23-Emerald IVAnswer
23-Emerald IV
January 22, 2019

You have to differentiate (name differently) between the X as parameter of the function, and X as the vector you defined before.

Within the definition of the function u, the best(closest) known X is the parameter of that function u, that is X, which at that point is unknown to be a vector...

 

 

Success!
Luc

25-Diamond I
January 22, 2019

> How to overcome this behavior without manual intervention?

maybe that way:

B.png