Solved
a loop creating a matrix with 2 columns
Hi,
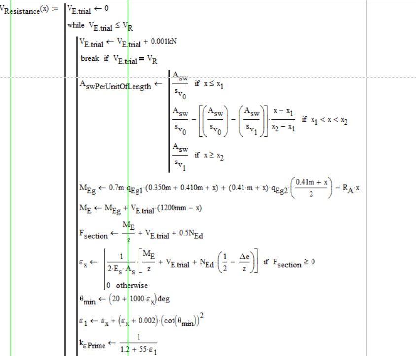
I am trying to write a simple command to create a matrix with two columns one of which would display a value of the governing shear force and the other with text (as in the screen below). When I loop it, the result is not what I intended. I would be grateful if someone could indicate what is wrong.

Regards,
MK



