Solved
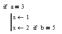
Also if
Can you show me please, when we must use also if not else if. Must not can!
Can you show me please, when we must use also if not else if. Must not can!
With flag we can work without if, else, else if, also if, otherwise, then etc....

Enter your E-mail address. We'll send you an e-mail with instructions to reset your password.