Skip to main content
24-Ruby IV
December 25, 2018
Question

Amarcord Federico Fellini and Mathcad (https://en.wikipedia.org/wiki/Amarcord):

  • December 25, 2018
  • 3 replies
  • 5457 views

Filini-Amarcord.pngFilini-Amarcord-solve.png

3 replies

24-Ruby IV
December 27, 2018

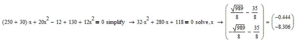
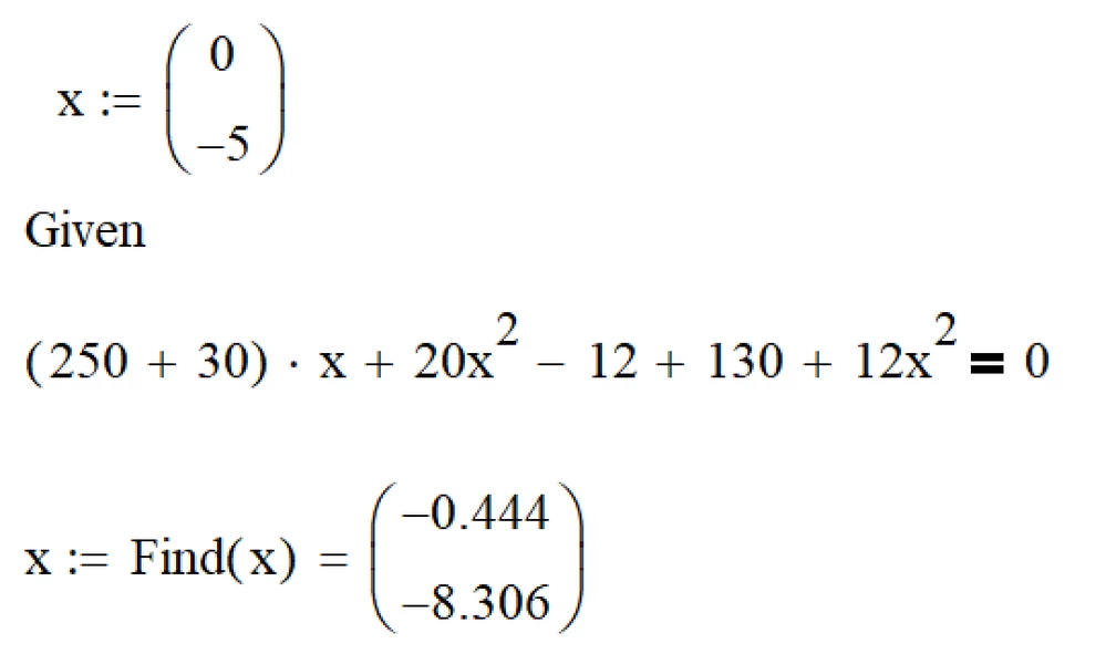
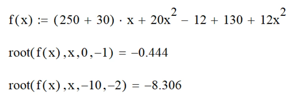
I would like to use all Mathcad tools for the solution this problem:

 The author of the last solution will get the gift from me!

1.

1sol.png

24-Ruby IV
December 27, 2018

2.

2sol.png

24-Ruby IV
December 27, 2018

3.

3sol.png

23-Emerald IV
December 27, 2018

In real Mathcad (11):

LM_20181227_Amarcord.png

Luc

24-Ruby IV
December 27, 2018

My bisection

8sol.png

24-Ruby IV
December 27, 2018

Newton

9sol.png

24-Ruby IV
January 26, 2019

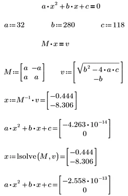
We have used Find, root, MinErr, polyroots, Minimize and Maximize functions! 

We can use the lsolve function too! Why not! With Werner help!

lsolve-qe.png