Question
An initial value problem for an ordinary differential equation
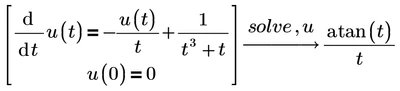
I recently learned about the following problem, whose solution function u(t) requires determining:
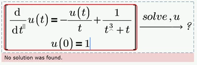
u´(t) = -u(t)/t + 1/(t^3+t), u(0) = 0
I intentionally called this problem a riddle 😉 .
Please answer in MC14-readable format.

