Skip to main content
19-Tanzanite
October 28, 2025
Question

Another Just-For-Fun Topic

  • October 28, 2025
  • 1 reply
  • 201 views

Just-For-Fun.png

Alan

(The attachment is Prime 11).

1 reply

25-Diamond I
October 28, 2025

impressive solution!

 

I tried a direct attack with the symbolics and it fails ("no solution found") but at least it could verify the solution you found.

So I guess a brute force approach using a loop testing all multiples of 3 evaluated symbolically may come up with the solution - but probably not in a lifetime.

Apropos time - the result is the same in real Mathcad (V.15) but the difference in calculation time compared to Prime is quite remarkable!

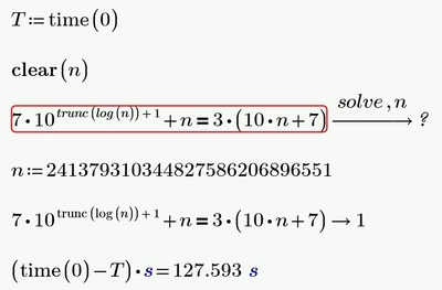
Prime 11:

Werner_E_0-1761673177055.png

 

Mathcad 15:

Werner_E_1-1761673209909.png

 

But of course, symbolics makes it easier to arrive at the solution using your thoughts:

Werner_E_0-1761673985732.png