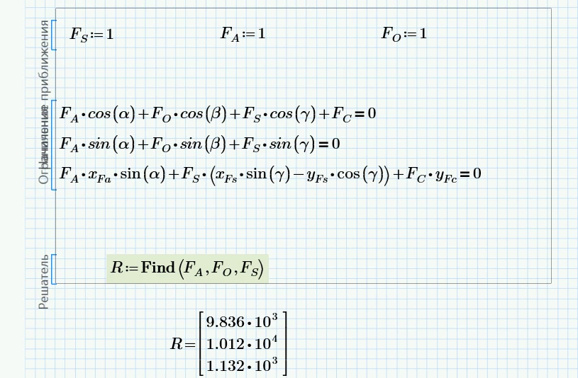
Your system is inconsistent! Its coefficient determinant is zero. That's the reason you get no solution from the solve block with "find".

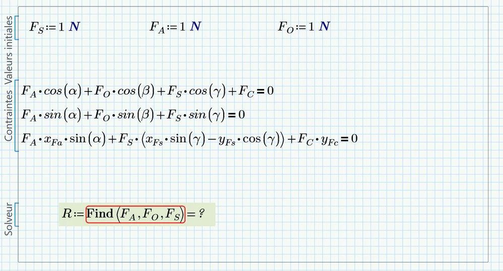
Also I wonder why you are using positive guesses when you expect negative results.
And why guesses of a magnitude of 1 N when you expect results in the range of a few MN ?
It looks to me that you did not check the results you got by manual calculation against the given three equations, right?
The results are far off!

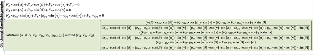
I guess that there may be an error somewhere in the derivation of your equations,, but if you really want to use the equations as given, you could use "minerr" instead of "find" to get a solution with overall minimized deviations.

But you have to be aware that even slight changes in the guesses may result in huge differences in the results!
Just changing the guess of F.O from -2 MN to -1 MN turn all results into positive values. Nonetheless the check shows similar results.

Prime 11 sheet attached