Skip to main content
1-Visitor
September 21, 2019
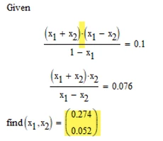
Question

answer is wrong

  • September 21, 2019
  • 2 replies
  • 1302 views

answer wrong.pngo

 

 

answer was supposed to 0.274 and 0.052

2 replies

23-Emerald IV
September 21, 2019

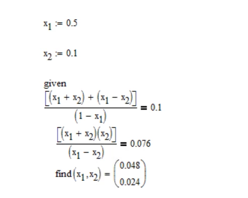
Answer is correct. May the supposed answer is for another problem...

Did you make no mistake in typing in the equations?

 

Success!
Luc

25-Diamond I
September 21, 2019

@JPark6 wrote:

 

 

 

answer was supposed to 0.274 and 0.052


The answer is NOT wrong, but obviously your specifying equations are wrong!

You have confused multiplication with addition:

B.png