Question
Array / Matrix syntax
Hello Everybody
I use MATHCAD PRIME 3.0.
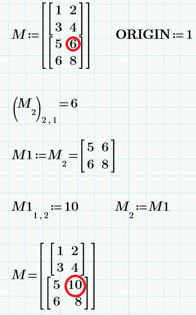
Does some one coulp help me with the syntax to set a value to a matrix' element in an array of matrix?
On this example AA is an array/vector of 2 matrix 5x80.
I can access to an element to get his value (67.34) but I am not able to set a value to this same element.
Maybe the syntax I use is incorrect..
Please Help !!!

