Skip to main content
1-Visitor
September 14, 2017
Question

Array Units & Value Decimal Places

  • September 14, 2017
  • 5 replies
  • 4893 views

Referring to the report extract I have attached, I have an array that captures reserve factors of a structrual analysis. It also captures the input data into those reserve factors.

I have two issues with the display of this data.

1) I cannot customise the units, i.e. I would rather some of the psi units be displayed as psf however it appears that mathcad does not allow the use of custom units in arrays? Further to this, when I backspace on a unti, it deletes the whole array rather than just the unit I want to delete and replace.

 

2) The RF column needs to be displayed as 2 decimal places but not the allowable or applied columns, these need no decimal places however, when I select the value or the column I need to change and then change the number of decimal places to be displayed, it changes all values in the array not just the column or value I have selected within the array?

 

Note that both of these techniques work with the individual values outside the array.

To me, these both seem fairly obvious things that should work within the array the same way as they work outside the array.

5 replies

24-Ruby IV
September 14, 2017

Send please the Mathcad sheet if it possible!

I know this problem I hope.

wlangford1-VisitorAuthor
1-Visitor
September 14, 2017

Thansk for you reply.

I can't send the sheet as it's commercial in confidence. I uploaded an extract in the original post as a pdf however.

24-Ruby IV
September 14, 2017

OK!

Create please the little Mathcad-model of the problem with not commercial data in the table-matrix!

24-Ruby IV
September 14, 2017

@wlangford wrote:

 

 

2) The RF column needs to be displayed as 2 decimal places but not the allowable or applied columns, these need no decimal places however, when I select the value or the column I need to change and then change the number of decimal places to be displayed, it changes all values in the array not just the column or value I have selected within the array?

 


You can have 2 separat columns for RF - for value and for unit!

21-Topaz II
September 14, 2017

Hi,

 

Arrays in MathCad are not like columns in Excel.  The whole array can have a unit applied to it.  the unit is just like multiplication by a scalar.  It is on the wish list for Prime I think to include for different units within a single matrix applied to individual elements of the matrix..

Arrays in MathCad are not like columns in Excel.  The formatting applies to the whole array not to idividual cells or columns.

 

The workaround for both issues is to use seperate column vectors not a single matrix. 

1-Visitor
September 14, 2017

If you have the data in excel, you can extract specific data, then convert it if needed. An example attached for your reference.

25-Diamond I
September 14, 2017

1) I cannot customise the units, i.e. I would rather some of the psi units be displayed as psf however it appears that mathcad does not allow the use of custom units in arrays? Further to this, when I backspace on a unti, it deletes the whole array rather than just the unit I want to delete and replace.

Yes, thats the behaviour in Prime at the time. Values in arrays are displayed using standard default units only. This could only be overruled if every value in the array has the same dimension and should be displayed in the same (non defaut) unit - then you could set the display unit after and outside of the array.

B1.PNG

Only "workaround" I could think of is to strip the units in the column by deviding by the unit you want to see in the display and add the units as text (looks pretty ugly):

 

B2.PNG


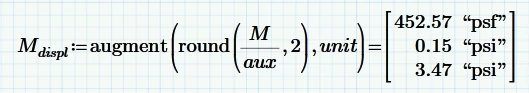
2) The RF column needs to be displayed as 2 decimal places but not the allowable or applied columns, these need no decimal places however, when I select the value or the column I need to change and then change the number of decimal places to be displayed, it changes all values in the array not just the column or value I have selected within the array?

Setting for number of decimals displayed only work for a whole math region, not just parts of it.

Possible workaround is to use the "round" or the "Round" function to cut down the number of decimals for a specific column:

B3.PNG