4-Participant
March 3, 2025
Question
Assistance with Integrating the Gamma Distribution in Mathcad
- March 3, 2025
- 2 replies
- 608 views
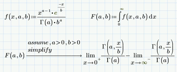
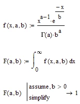
Could you please assist me with integrating the attached function in Mathcad? It represents the probability density function (pdf) of the Gamma distribution. I know that the integral should evaluate to 1, but I am unsure how to perform the integration in Mathcad without specifying the values for alpha and beta. When I assign specific values to these parameters, the integral correctly evaluates to 1, but I would like to achieve this result symbolically.
Your guidance on how to proceed would be greatly appreciated.

