24-Ruby IV
February 10, 2018
Solved
Bug in Mathcad 15 not in Prime and in my head
- February 10, 2018
- 2 replies
- 2786 views
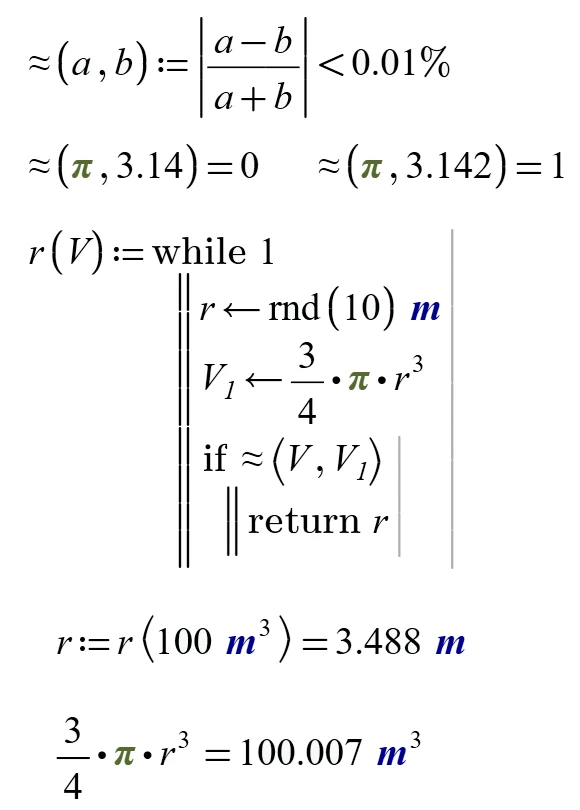
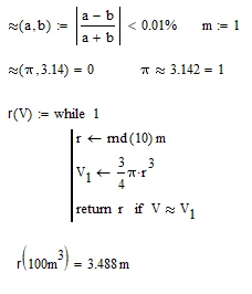
I could not solve a simple problem (the radius of the ball) by the method of scientific poking (see please Trial and error).
I decided that one bug got into my head. But I decided not to give up and converted the file into Mathcad Prime 4 (see please attachs). The bug was not in my head, but in Mathcad 15. What is this bug?
Mathcad 15
Mathcad Prime 4


