Question
Bug in Prime with vectorization and prime operator?
- June 8, 2025
- 2 replies
- 692 views
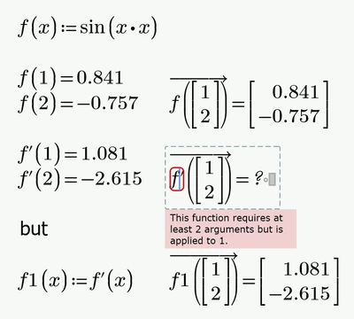
Found what looks to me like a bug.

The error message is not very helpful and rather an indication that it is actually an unintentional bug.
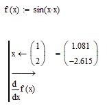
In Mathcad the convenient prime operator is not available and so we would have to use

Can't check if this way would work in Prime as I am limited to Express and that kind of 'programming' is a premium feature not available in Express.
In Prime we get the very same error when using a scalar argument and vectorize

Any comments on this?
Prime 4 worksheet attached

