Skip to main content
24-Ruby IV
February 24, 2018
Question

Bug in symbolic Math?

  • February 24, 2018
  • 2 replies
  • 4299 views

I see one very strange bug!

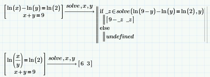
I have had solved a system of 2 algebraic equation - not correct solution!

I have simplified its - correct solution!

Do you know about it?

2 replies

23-Emerald IV
February 25, 2018

No worksheet, no picture... do you want us to guess?

 

Luc

24-Ruby IV
February 26, 2018

I am preparing the example.

 

Now you can translate and read one old joke!

Приходит пьянный студент в свою комнату в общаге, садиться на кровать, снимает один ботинок и со всего размаху бросает его в стенку.

Тут раздается крик из-за стенки:
— Ты идиот - 3 часа ночи, а ты спать не даешь!!!
Тогда студент тихо снимает второй ботинок и ложится спать.

Через два часа истошный крик соседней комнаты:
— Я долго буду ждать, когда ты второй ботинок снимешь???

1-Visitor
February 26, 2018

syseq4.png

21-Topaz II
February 27, 2018

Selling shoddy products is a deliberate and malicious action otherwise it would be like .... "throw pearls to pigs" .... Quality costs a lot and isn't for everyone.........