Question
Bug - matrix limit
- March 28, 2018
- 3 replies
- 3279 views
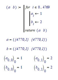
I seem to have found a bug in Prime 4.0. When specifying an array of 4767 elements it stops working. But only if the program is defined as [a b]:=, it works fine if it's a:=. This picture explains it better than I can. So, I have a work around, but my questions are:
a.) It's a bug, right?
b.) Any reason why it would do that?

Thanks,

