BUGS in Prime
- June 4, 2024
- 2 replies
- 2357 views
While working on an answer to a question here in the forum, I noticed two bugs in Prime concerning the symbolics.
I could not be bothered to report them the "official" way (too complicated, I am too old to be forced to jump through that many loops) so I post them here for your information and of course for PTC staff if they really are interested to improve their software (just joking...)
Both bugs are already present in Prime 6 and still are in Prime 10.
Bug #1:
Simplification of an expression using "floor" and the Heaviside function returns a wrong result!

BTW, the bug is due to the 'new' symbolics. When we switch back and use the legacy symbolics (only available in P6 and below) we get a correct result

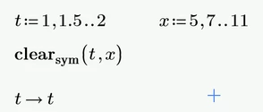
Bug #2
"clear.sym" does not clear a range variable. It should make it undefined for symbolic operations.
"clear" works OK, but it also makes the variable undefined for the numerics.

Interestingly the operation works as it should when a second variable is added

Prime 6 worksheet attached (both bugs show up in Prime 10 as well, though).

