Calculation of Derivatives - Create Mathcad Program/Function
- June 30, 2022
- 2 replies
- 1578 views
Hello,
I would like to get a program in Mathcad that: given being a function with a certain number of parameters and a certain symbolic expression, f (p1, p2, p3, p4, ..., pn): = a certain symbolic expression that involves these parameters: p1, p2, p3, ... ,pn, to automatically obtain the following:
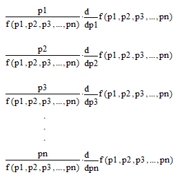
1. Symbolic calculation of:

2. Numerical calculation of:
Given finally the numerical values for the parameters: p1, p2, p3, ..., pn, calculate the numerical values for the expressions of the derivatives from point 1.
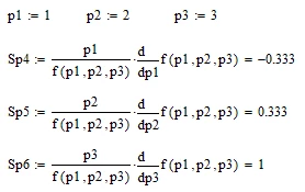
Example for the case with 3 variables: p1, p2, p3:

1. Symbolic calculation:

2. Numerical calculation

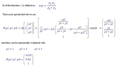
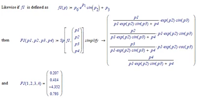
The idea is that I want a Mathcad program that calculates automatically what I want regarding the two points above (point 1 and point 2), meaning to give me as output both the symbolic calculations and the numerical calculations, in the form of parameters, as shown for example in the example above (Sp1, Sp2, Sp3, Sp4, Sp5, Sp6), and not me each time to calculate in turn them one by one, line by line.
Attached is the Mathcad file in Mathcad 15, Mathcad 11 and Mathcad Prime 7.0.0 versions.



