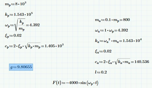
Question
Calculus Derivates
Hi everyone,
I'm trying to solve a sistem of two coupled differential equations on Mathcad Prime using Odesolve, but I'm not getting sucess. Anyonde can help me? (I guess that the error is on the term highlighted in second equation)

