Calling Matrices as input variables to another function
Software used: Mathcad Prime 10
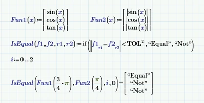
There are 2 Matrices defined as below:

I want to create a function with these 2 matrices as input, to compare the values of 1 matrix to the other.
How can i do this?
I tried doing it like below, But it seems that a function depending on another variable (pnumber or row in this case) cannot be given as an input to another function.
IsParamMatch(RBoM_fixed_params_list(pnumber),RParameter_fixed_params_list(row))

