Can someone help me with this resolution Sketch ?
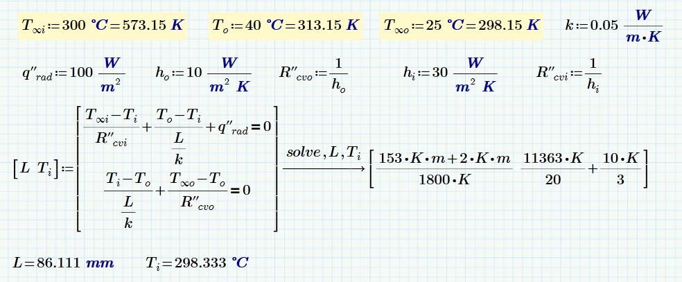
Can someone help me with this? I am trying to replicate this resolution on MathCad but I am doing something wrong or not using the right functions to solve it. Can someone tell me what am I doing wrong? Thank you in Advance.



