24-Ruby IV
May 25, 2015
Solved
Catenary with load
- May 25, 2015
- 3 replies
- 7587 views
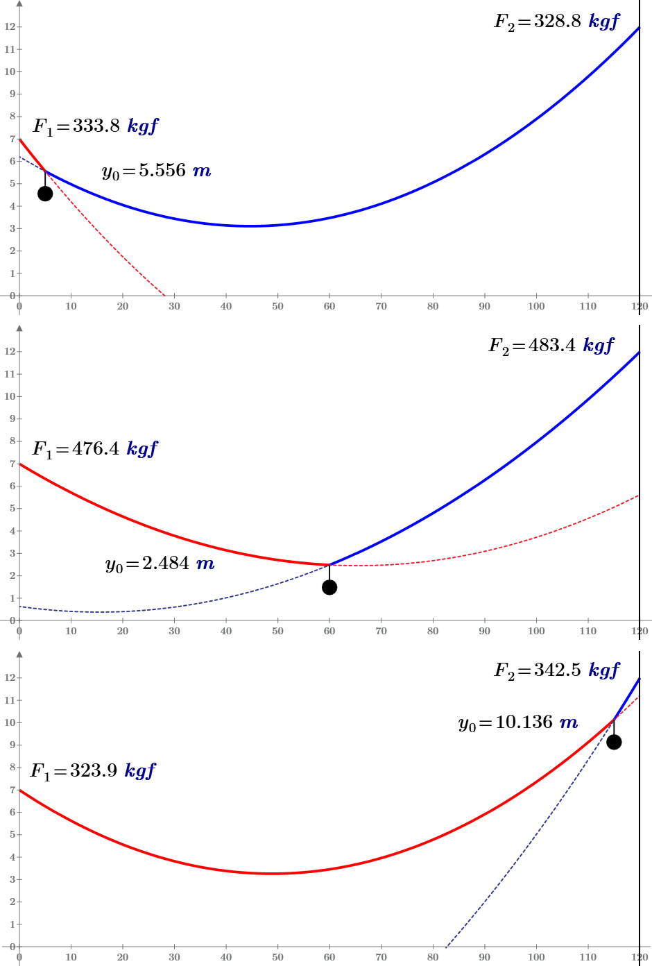
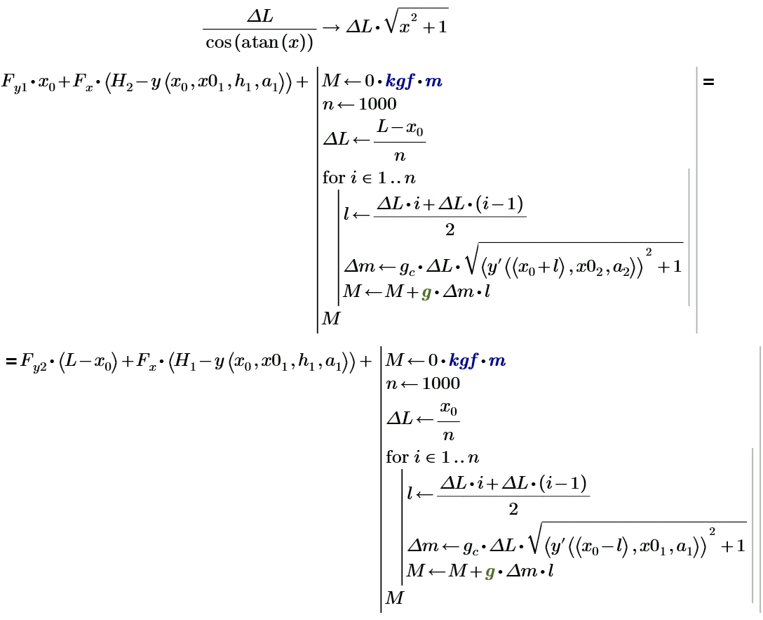
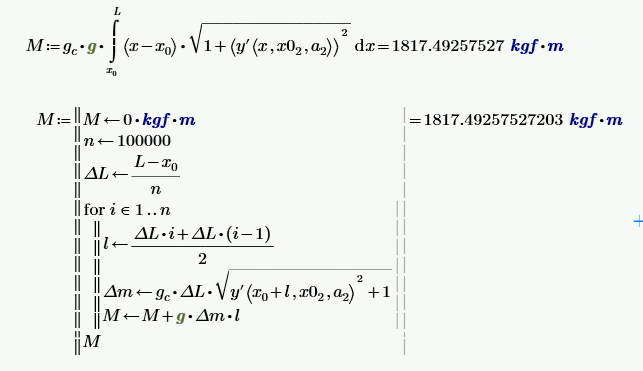
I hope I have solved this old interesting problem - One catenary problem
See please pictures and attach (15 and Prime).


But at G=0 and x.0=1 m I have not one chain - is it an error of Math model or of a numerical method of 9 equations solution?

At x.0=40 m and others not at two fix points all is OK

Werner! Where are you?


