Skip to main content
1-Visitor
April 23, 2020
Question

Closed-Form Function to match an Integral or an ODE

  • April 23, 2020
  • 4 replies
  • 4560 views

Hello,

What would be the best and easiest way to approximate an integral or ODE by a mathematical function?

Please see the attached MathCad 15 file.

Thanks,

Anousheh

4 replies

23-Emerald IV
April 23, 2020

This may be of help:

LucMeekes_0-1587664836195.png

But most of all:

LucMeekes_1-1587668777265.png

 

 

Success!

Luc

Anousheh1-VisitorAuthor
1-Visitor
April 23, 2020

Hello Luc,

Thanks. Could you please attach the file?

Appreciate this.

Anousheh

23-Emerald I
April 23, 2020

You've tripped over the difference between range variables and vectors.  You defined a range variable 

     x:= 0, 0.001, . . 1

That's valid, but x is NOT a vector.  (Range variables are mostly used for plotting; there's an undocumented trick that can be used to make them vectors, but it doesn't always give you what you thought.)

 

So when you typed the first expression for x1, Mathcad told you that x wasn't legal there.  (It would have been if x was a vector.)  So you created x1(x,m), which is a function and it works.  Note that x1(x) would have worked too, since m is single-valued and already defined.

 

See if the attachment helps.  Done in Prime 4, pdf shown

 

 

At this point, It's legal to 

Anousheh1-VisitorAuthor
1-Visitor
April 23, 2020

Hello Fred,

Thank you so much. Great.

G1(x1) is like this:

Anousheh_0-1587671923779.png

Can you please plot this too?

Thanks a lot.

Anousheh

 

23-Emerald I
April 24, 2020

FredKohlhepp_0-1587730284550.png

 

21-Topaz II
April 27, 2020

Hi,
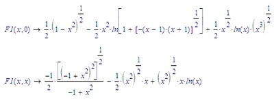
I calculated the integral, but we must study the function, for x = 1 the integral is complex. See next photo:

answer to Anousheh 1.jpganswer to Anousheh 2.jpg

21-Topaz II
April 27, 2020

Hi,

my solution, see photos:

answer to Anousheh 1.jpganswer to Anousheh 2.jpg

Anousheh1-VisitorAuthor
1-Visitor
April 27, 2020

Hello MFra,

Thank you so much for your input.

Please let me know how you get:

1- a0(x,m), b0(x,m), etc ?

2- Red marker on the graph at "y axis=1"?

3- how do we know if we have Re and Im functions?

AND

1- How to incorporate x1=(x-m)/(1-m) into G1(x1) as a closed form function?

Thank you again for your help and time,

Anousheh

 

21-Topaz II
April 28, 2020

Hi,
sorry I forgot to add the function F1 (x) to the beginning of the worksheet. Anyway, I attach the complete file. With what is provided, I think you can solve all your problems.