Question
Coefficients evaluated/shown in an equation
Hi,
I am looking for a solution to my question, "can the coefficients be evaluated/shown as numbers in an equation?"
example)
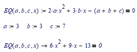
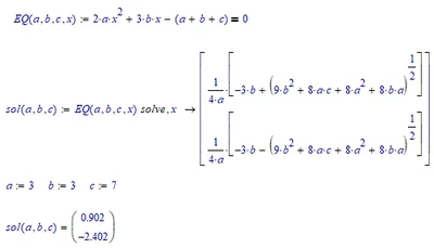
a:= 3 b:=3 c:=7
2a (x^2) + 3b (x) - (a+b+c) = 0
can the obove be shown as: 6(x^2) + 9x - 13 = 0

