10-Marble
December 18, 2023
Solved
Combining ODE with a IF function
- December 18, 2023
- 1 reply
- 1929 views
Dear all,
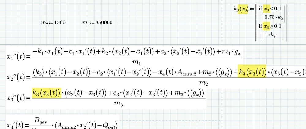
May I ask if anyone knows how to combine this 'if' function with these differential equations? k3 is a spring where the stiffness depends on the position of mass 3. In the attachment, I managed to achieve this in Python, but I didn't manage to do this in Mathcad.
Could someone help me so that I know for next time?"
Thanks in advance.


