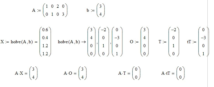
Common solution of SLE
1. How can I extract each column of this solution

2, Why we have this solution in Prime

1. How can I extract each column of this solution

2, Why we have this solution in Prime

@Fred_Kohlhepp wrote:
I understand. So why didn't the symbolics find the other solution?
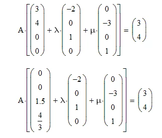
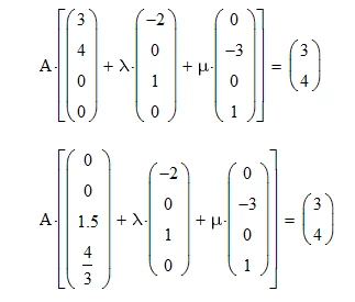
Because there are many "other" solutions you may derive from the one given by changing the values of lambda and mu. A 2-dimensional manyfold in 4D-space.
You may see the set of solution vectors as a 2D-plane in 4D-space. It does not matter if you chose (3; 4; 0; 0) as anchor point or (0; 0; 3/2; 4/3). Its the same plane. We could also change the two vectors for others (linear combinations of the two) and it would still be the same manifold, the same plane.
Your solution can be derived from the one given by using lambda=3/2 and mu=4/3.

And to answer Valery's question: I have no idea how to automatically assign the three vectors of the symbolic lsolve command to varaibles without having to resort to copy and paste. I guess it will not be possible at all. As Prime writes the expression is not valid one. Nonetheless its a good thing that MC15 is showing it.
Enter your E-mail address. We'll send you an e-mail with instructions to reset your password.