There is no error in the sheet you posted.
But I guess that you probably tried to assign d(L) to a variable and saw that error

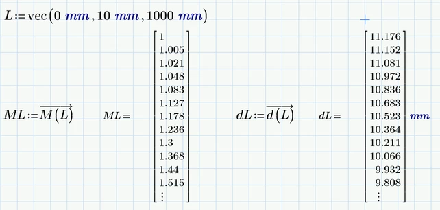
Reason is that L is a range, not a vector!
What you did worked OK up to Prime 9 because in these older versions the inline evaluation (the "=" you put right after the range definition) converted the range into a vector.
Starting with Prime 11 we have a new function "vec" which makes is easy to create a vector using the same values used in a range definition.
When using this vector as argument for your functions you have to apply the vectorization operator (the arrow over the expression):

In case you are using Prime 10 you have to create the vector by other means.