But then your range variable "x" must consist of integers only.
Which makes your approach VERY limited, especially given that an additional constraint is that the range variable must start with ORIGIN as the first value!
Also it seems that
For more flexibility you could use something like

but again M is not a function but just a vector of values.
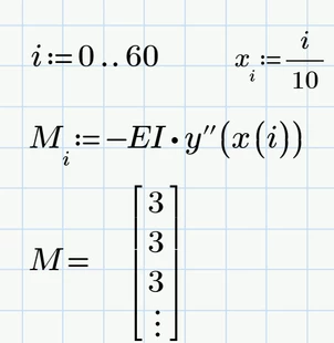
You may also note that it was necessary to use the (IMHO silly and wrong) alternate way of accessing vector elements by using the vector as if it would be a function, x(i) instead of x[i.
If we use the correct vector index here, Prime throws an error which seems to be related to the bug I mentioned in my previous reply.

Or compare this

Sure a bug.
Enter your E-mail address. We'll send you an e-mail with instructions to reset your password.

