1-Visitor
December 30, 2020
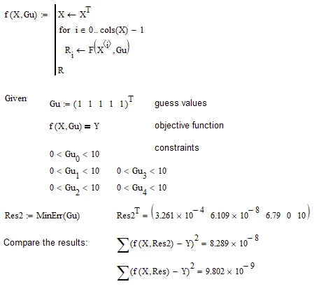
Question
Constraints using multidfit
- December 30, 2020
- 1 reply
- 1526 views
Hi everyone!
I'm trying to fit a curve employing a multivariable function (5 variables and 5 parameters), which is a kinetic model. I could write the matrixes but the parameters are negative, and I need positive values. How can I write contraints for those parameters?
Here you'll find the file.
Thanks!

