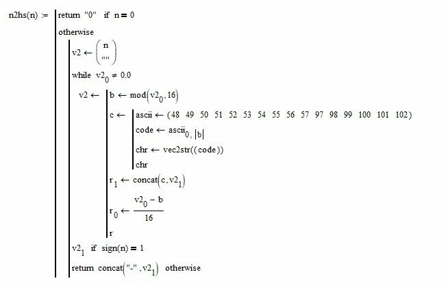
Conversion of binary numbers into hexadecimal numbers
Related to this thread:
Hello Werner,
I am currently looking for a way to process hexadecimal numbers with Prime and unfortunately I have seen that there is nothing out of the box. Now I would like to save myself the work of developing my own functions and using your preliminary work. Can you post the file here (I'm currently working with Prime 7).
Thanks very much
---------------------------
Hallo Werner,
ich suche gerade nach einer Möglichkeit mit Prime hexadezimal-Zahlen zu verarbeiten und habe gesehen es gibt leider nichts out of the box. Nun würde ich mir gerne die Arbeit ersparen eigene Funktionen zu entwickeln und Deine Vorarbeit zu nutzen. Kannst Du die Datei hier posten (ich arbeite aktuell mit Prime 7).
Vielen Dank

