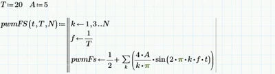
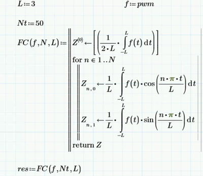
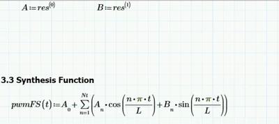
Question
Creating a pulse train out of fourier transform
Hey there,
I am trying to create a pulse train of period 20 ms with a pulse width of 3ms. I am trying to use a fourier transform but I have the incorrect pulse width and I would only like to display the positive amplitude from 0 to A.



