Solved
Custom operator in Mathcad Prime 10
Hi,
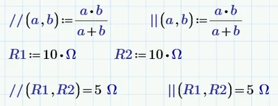
In electronics, we use an operator for the parallel connection of resistors. For example: R1 || R2 which means (R1*R2)/(R1+R2). How is it possible to create an operator like this so that I can use it just like basic operators such as /+ * ?

