@Fred_Kohlhepp wrote:
I think my computer has covid19 😉
Edited post to try to reinsert the picture.
Maybe its not Covid-19 but just Khoros 😉
@Fred_Kohlhepp
I very often experience problems when embedding pictures. After copying a picture there would be created some html-code (you can switch this editor to html mode to see it) but no picture is displayed.
The html code inserted is something like
<div id="tinyMceEditorWerner_E_0" class="mceNonEditable lia-copypaste-placeholder"> </div>
but should be something like
<p><li-image width="400" height="400" alt="Werner_E_0-1609793680999.png" align="inline" id="35549iF3DB80055CF6FD40" size="medium" resized="false" sourceType="new"></li-image></p>
Only solution is to post the message and immediately after that open it again for editing and usually it would let you embed pictures as it should be. Guess you ran into the very same bug. EDIT: It just happened to me here again when trying to insert the first pic.
@Jaime_Lee Is this an already known forum bug? It can't be reliably reproduced but happens quite often. I am not sure what this bug depends on - length of text, time being online, time having the posting open under development, current zodiac sign, ... ?
@CarlosRomero
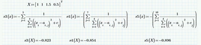
Its noticeable that all the three minimum values given in the text are a bit smaller than the ones we can actually achieve with the function. I can't say where those values would come from, but with the table values given they can't be calculated. Also the function values at (4,4,4,4)^T always are a bit larger than the minimum values found, so Mathcad is correct at returning those values which are slightly off the (4,4,4,4)^T.

BTW, instead of using a genetic algorithm you may give "simulated annealing" a try.
Richard had provided a fine implementation here: https://community.ptc.com/t5/PTC-Mathcad/Minimizing-a-Function-using-Simulated-Annealing/m-p/445213/highlight/true#M176579
I copied his functions into the attached worksheet to give it a try
