1-Visitor
July 19, 2025
Question
Defining a time-dependant function
- July 19, 2025
- 1 reply
- 1504 views
Hello,
I am a beginner in Mathcad using Prime 10.0.0.0 Educational Edition.
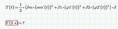
I want to calculate the kinetic energy of a mechanical system so I have to define a time-dependant function, but I'm not able to do this.
I want to calculate the symbolic expression.
I write the function as alpha(t):=[function including t as time variable] and I don't get any errors, when I try to use this function later I get the error "The variable is undefined. Check that the label is set properly".
I don't know if I'm using the time variable t wrong or it's an algebra problem.
Any ideas?
Thank you,
Andrea

