A
Anonymous
March 28, 2022
Question
Derivative calculated incorrectly
- March 28, 2022
- 4 replies
- 2648 views
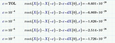
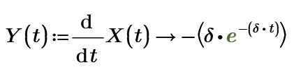
I really don't understand why when using a Symbolic Calculation, the value is obtained more accurately than when checking the value normally. What should I do so that the derivative is calculated correctly?
