Solved
Derivative of function
- September 24, 2025
- 2 replies
- 768 views
Good Morning,
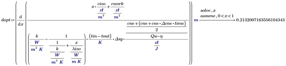
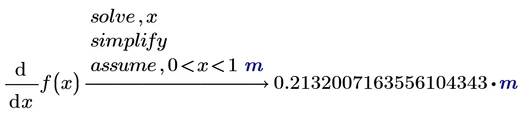
I have encountered a problem solving a symbolic equation using Mathcad Prime 11.0.0.0. I try to evaluate the derivative of function using keywords from Sybolics (Operators and Symbols).
The error is: "More than one independent variable for keyword solve.
What I try to do is to find when the derivative of the function is equal zero. To find max/min of a function.
One variable in function f(x) is x. The rest is defined above. So I do not understand what the problem is here. Variable x should be in metres , from range 0 to 1.
Please see below. Also file in attachment.

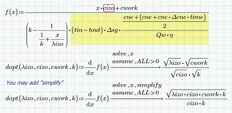
What did I wrong? Is there a better way to find a solution? Anyone could help? How to do it properly?
Kind Regards
Karol






