Skip to main content

3 replies

21-Topaz II
May 3, 2020

Hi

You need to define values for "U", "R", & "L"

Cheers

Terry

25-Diamond I
May 3, 2020

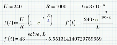
You equation can't be solve by elementary means, so Prime can't find a symbolic solution.

Werner_E_0-1588463991847.png

But if you provide values for U, R and t you can get a numerical solution for L:

Werner_E_4-1588467525964.png

This is probably not the solution you are looking for, but when forced to switch into float mode, the symbolic will only return one solution with no control over it.

Note that I used the prime operator for the derivative.

 

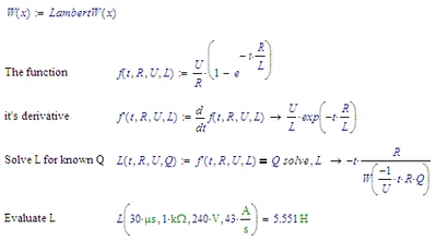
Another way would be to use the usual derivative operator as you did and assign the result to a new function (I called it "f1" in the pic below and made it dependent on t AND L).
You may add units and use the numeric "root" command instead of the symbolic solve. Numerical methods like "root" or a solve block a native to Prime and can handle units (the symbolics doesn't know anything about units):

Werner_E_0-1588467739873.png

Prime 6 worksheet attached

 

23-Emerald IV
May 3, 2020

"You equation can't be solve by elementary means, so Prime can't find a symbolic solution."

Stupid Prime.

 

LucMeekes_0-1588528358175.png

Success!

Luc

25-Diamond I
May 4, 2020

@LucMeekes wrote:

"You equation can't be solve by elementary means, so Prime can't find a symbolic solution."

Stupid Prime.

 

LambertW is not "elementary"  and can usually only be evaluated numerically

 

But I second your "Stupid Prime" nonetheless for many other reasons 😉