Solved
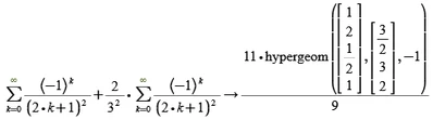
Found something interesting:

So this may be a quite clumsy workaround

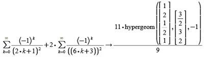
But it only works if the variable a is not defined. Otherwise the error pops up again:

But the best "workaround" if one already is aware of this bug, sure is to put the factor outside the parenthesis

Its a strange bug, indeed!
Enter your E-mail address. We'll send you an e-mail with instructions to reset your password.


