differential equation solver
- I’ve used mathcad years ago, but I have not used it much since ptc switched it to prime.
I’m trying to solve partial differential equation, shown below:

After some simplification, the equation will be this:

I can write Tm as a 3rd order polynomial trend line.

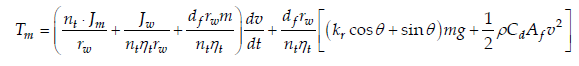
finally after some reorganization the final equation:

I'd like to plot V(t) vs. t
Am I on the right path? Last time I solved differential equations was 20 years ago, and I was not good at it
I still have some weak memories of differential equation solving when both the function and the first derivative are in the same equation. I tried to solve this in excel with numerical differentiation but that one did not yielded good results either.
Any help if greatly appreciated. thank you!

