21-Topaz I
July 29, 2018
Solved
Electric Circuit ODE solving
- July 29, 2018
- 2 replies
- 4575 views
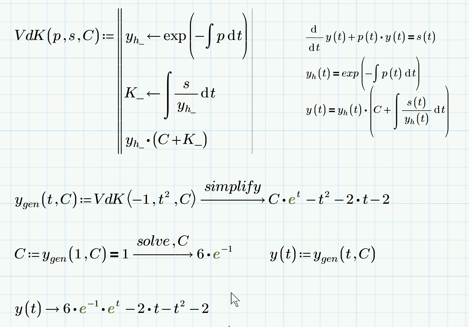
Is their more smart way to solve ODE question No. 2 by Mathcad Prime 4.0?
My answer is attached.
T.Tokoro.

@ttokoro wrote:
Problem 1 can solve only one line.
Is problem 2 also can solve one or two steps?
How about this, using time shifting:

Enter your E-mail address. We'll send you an e-mail with instructions to reset your password.